先週金曜日(2026年1月16日)の天然ガス動向振り返り
- 終値:3.156(-0.036)<-1.13%>
※OANDAが提供する商品CFD「天然ガス(NATGAS)」の終値です。
※終値はNY時間17時時点のMidです。
NATGASは最終的に下落。
米国時間の15日にEIA(米エネルギー情報局)の週間在庫統計が発表されており、これが金曜日の値動きにも影響したと報じられています。
同統計では在庫減少幅が市場予想よりも小さく、在庫量の多さが指摘されています。
なお、CFTC(米商品先物取引委員会)が天然ガスの投機的ネットポジションを公開し、およそ18万6,000の売り越しでした。
売り越し幅の大きさは2020年3月以来の大きな水準です。
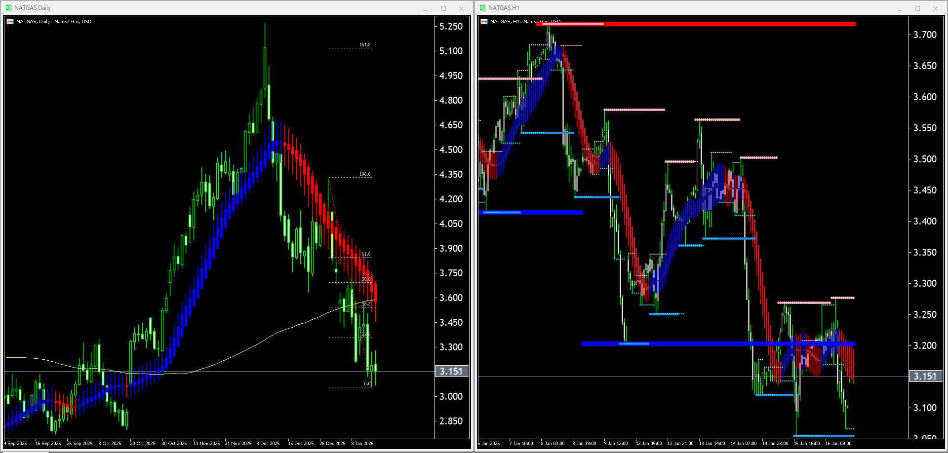
【天然ガス(NATGAS)】本日(2026年1月19日)のチャートテクニカル分析

(チャートは2026年1月19日7時のもの)
左:日足「OANDA_Heikinashi_Smoothed」「OANDA_Auto_fibonacci」を表示
右:1時間足「OANDA_Heikinashi_Smoothed」「OANDA_Support_Resistance」を表示
<日足チャート分析>
ローソク足は上下にヒゲがある陰線を形成して、上昇した前日15日と同等の値幅となりました。
平均足は陰連しローソク足はその下を推移しており、売り優勢を示しています。
2日続けて節目価格3.0ドル目前で反発しています。
目先は、3.0ドルからの反発が続くか、反落して3.0ドルを割れるかに注目です。
<1時間足チャート分析>
取引前半のジリ高の後、半ばから後半にかけて下落が進み、始値を下回る水準で取引を終えました。
平均足は陰連しているものの、ローソク足と平均足は重なっており、明確な方向性は出ていません。
15日安値と16日安値でダブルボトム形成の可能性があります。
目先は、ダブルボトム形成により反発が進むか、下落が進み15日安値を割れるかに注目です。
テクニカル分析チャートで使っているオリジナルインジケーター
OANDA_Heikinashi_Smoothedはこちら
OANDA_Support_Resistanceはこちら
OANDA_Auto_fibonacciはこちら
その他オリジナルインジケーターライブラリはこちら
石油・天然ガス採掘装置(リグ)数の推移(週間)

米石油サービス会社ベーカー・ヒューズの発表によると、米国内石油リグの稼働数は1基増加して410基でした。
昨年11月下旬以降、稼働リグ数は410基前後で推移しています。
一方、天然ガスのリグ数は2基減少して122基でした。
稼働リグ数は3週連続で減少しています。
天然ガス貯蔵量の推移(週間)

米EIA(エネルギー情報局)の発表によると、天然ガスの貯蔵量は前週比で71bcf(10億立方フィート)減少し、3185bcfでした。
減少幅は前回値(-119bcf)から縮小し、100bcfを下回っています。
また天然ガス(NATGAS)リアルタイムチャートは、以下よりご確認下さい。
>天然ガス(NATGAS)リアルタイムレート
Published by
OANDA Lab編集部
OANDA証券株式会社が運営する「OANDAラボ」は、FX/CFDを統計学的側面で科学するメディアです。外国為替(FX)や世界の株価指数、金や原油などの商品市場に関するマーケット情報やデータ、ニュースを提供しています。
会社名:OANDA証券株式会社
所在地:東京都千代田区平河町1-3-13 CIRCLES平河町 10階
加入協会:一般社団法人金融先物取引業協会 / 日本証券業協会 / 日本商品先物取引業協会
登録番号:第一種 金融商品取引業 関東財務局長 (金商) 第2137号
問い合わせ先:お問い合わせフォームから
本ホームページに掲載されている事項は、投資判断の参考となる情報の提供を目的としたものであり、投資の勧誘を目的としたものではありません。投資方針、投資タイミング等は、ご自身の責任において判断してください。本サービスの情報に基づいて行った取引のいかなる損失についても、当社は一切の責を負いかねますのでご了承ください。また、当社は、当該情報の正確性および完全性を保証または約束するものでなく、今後、予告なしに内容を変更または廃止する場合があります。なお、当該情報の欠落・誤謬等につきましてもその責を負いかねますのでご了承ください。