昨日(2026年2月2日)の天然ガス動向振り返り
- 終値:4.278(-1.718)<-28.65%>
※OANDAが提供する商品CFD「天然ガス(NATGAS)」の終値です。
※終値はNY時間17時時点のMidです。
NATGASは3営業日ぶりに下落。
週明けのNATGASは下窓を開けて取引が始まりました。
寒波の影響から買われる地合いが続いていましたが、今後1~2週間の米国本土の気温は平年より高い予報に転換し、天然ガスの暖房需要の減少見通しが伝えられ、これが影響した模様です。
買いの動きは限定的で、窓を埋めることなく下落し、先週末終値に比べて大幅安で取引を終えています。
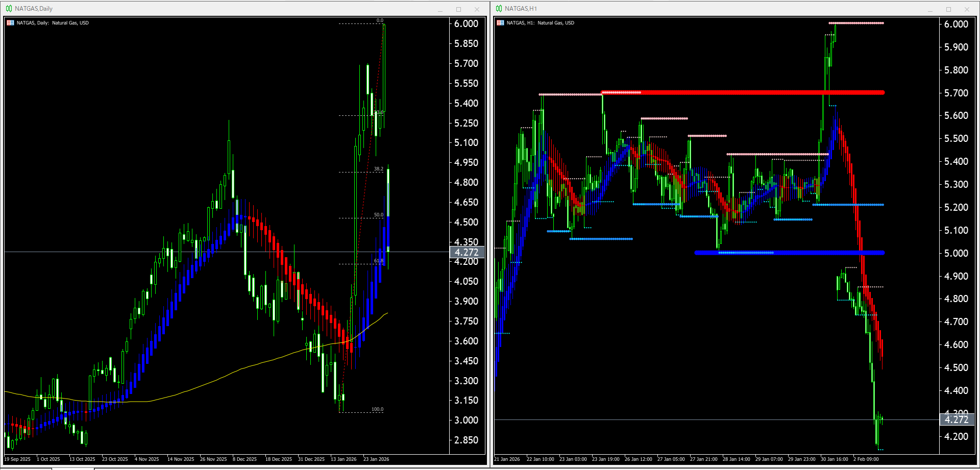
【天然ガス(NATGAS)】本日(2026年2月3日)のチャートテクニカル分析

(チャートは2026年2月3日7時のもの)
左:日足「OANDA_Heikinashi_Smoothed」「OANDA_Auto_fibonacci」を表示
右:1時間足「OANDA_Heikinashi_Smoothed」「OANDA_Support_Resistance」を表示
<日足チャート分析>
ローソク足は下窓を開けて寄り付いた後に陰線を形成し、週明け後に急落する形となりました。
平均足は陽連しているものの、ローソク足と平均足は重なり、明確な方向性は出ていません。
前営業日30日の6.0ドル付近から4.1ドル台前半まで下落が進み、4.2ドル台後半で取引を終えました。
目先は、4ドル割れに向けて下落が続くか、反発して窓埋めへ向かうかに注目です。
<1時間足チャート分析>
下窓を開けての寄り付き後、終日下落が進む1日となりました。
平均足は陰連しローソク足はその下を推移しており、売り優勢を示しています。
取引後半に4.2ドル付近で若干の反発を見せました。
目先は、4.2ドル付近からの反発が続くか、4.2ドル付近も割れて下落が進むかに注目です。
テクニカル分析チャートで使っているオリジナルインジケーター
OANDA_Heikinashi_Smoothedはこちら
OANDA_Support_Resistanceはこちら
OANDA_Auto_fibonacciはこちら
その他オリジナルインジケーターライブラリはこちら
石油・天然ガス採掘装置(リグ)数の推移(週間)

米石油サービス会社ベーカー・ヒューズの発表によると、米国内石油リグの稼働数は変わらず411基です。
昨年11月下旬以降、稼働リグ数は410基前後で推移しています。
一方、天然ガスのリグ数は3基増加して125基です。
昨年11月下旬以来の増加となりました。
天然ガス貯蔵量の推移(週間)
米EIA(エネルギー情報局)の発表によると、天然ガスの貯蔵量は前週比で242bcf(10億立方フィート)減少し、2823bcfでした。
前回に続いて減少幅は市場予想より大きかったものの、在庫水準は直近5年間の平均を上回る水準を維持しています。
また天然ガス(NATGAS)リアルタイムチャートは、以下よりご確認下さい。
>天然ガス(NATGAS)リアルタイムレート
Published by
OANDA Lab編集部
OANDA証券株式会社が運営する「OANDAラボ」は、FX/CFDを統計学的側面で科学するメディアです。外国為替(FX)や世界の株価指数、金や原油などの商品市場に関するマーケット情報やデータ、ニュースを提供しています。
会社名:OANDA証券株式会社
所在地:東京都千代田区平河町1-3-13 CIRCLES平河町 10階
加入協会:一般社団法人金融先物取引業協会 / 日本証券業協会 / 日本商品先物取引業協会
登録番号:第一種 金融商品取引業 関東財務局長 (金商) 第2137号
問い合わせ先:お問い合わせフォームから
本ホームページに掲載されている事項は、投資判断の参考となる情報の提供を目的としたものであり、投資の勧誘を目的としたものではありません。投資方針、投資タイミング等は、ご自身の責任において判断してください。本サービスの情報に基づいて行った取引のいかなる損失についても、当社は一切の責を負いかねますのでご了承ください。また、当社は、当該情報の正確性および完全性を保証または約束するものでなく、今後、予告なしに内容を変更または廃止する場合があります。なお、当該情報の欠落・誤謬等につきましてもその責を負いかねますのでご了承ください。