昨日(2026年2月11日)のナスダック100の振り返り
| ナスダック100 | US100(※) | |
|---|---|---|
| 終値 | 25,201.26 | 25,218.8 |
| 前日比 | +73.62(+0.29%) | +32.1(+0.13%) |
※OANDAが提供するNASDAQ100指数を参照したCFD「US100」の終値です。
※終値はNY時間17時時点のMidです。
2026年2月11日(水)のナスダック100は、前日比+73.62ポイント高(+0.29%)の25,201.26ポイントで取引を終えました。
1月雇用統計が市場予想を大幅に上回り、労働市場の安定が示されました。
株式市場は米国債利回りの上昇が嫌気され、主要ハイテク株を中心に売られた後に、方向感なく推移し小幅高となりました。
CMEのFedWatchツールによると、次回利下げ次期として有力視されていた6月連邦公開市場委員会(FOMC)での据え置き確率が上昇しました。
カンザスシティー連銀のシュミッド総裁は、「さらなる利下げはインフレ高進の長期化を招く」可能性があるとの旨を発言しています。
個別銘柄は、半導体を中心としたテック関連に買いが入るも、銘柄ごとにまちまちの値動きでした。
マイクロン・テクノロジー(MU)、TモバイルUS(TMUS)、ラム・リサーチ(LRCX)、アプライド・マテリアルズ(AMAT)、インテル(INTC)などが上昇。
ショッピファイ(SHOP)、インテュイット(INTU)、ネットフリックス(NFLX)、アドビ(ADBE)、パランティア・テクノロジーズ(PLTR)などが下落しました。
特に、マイクロン・テクノロジー(MU)は前日比+9.94%と大きく上昇しています。
全体としては、構成銘柄の約5割がプラス圏で取引を終えています。
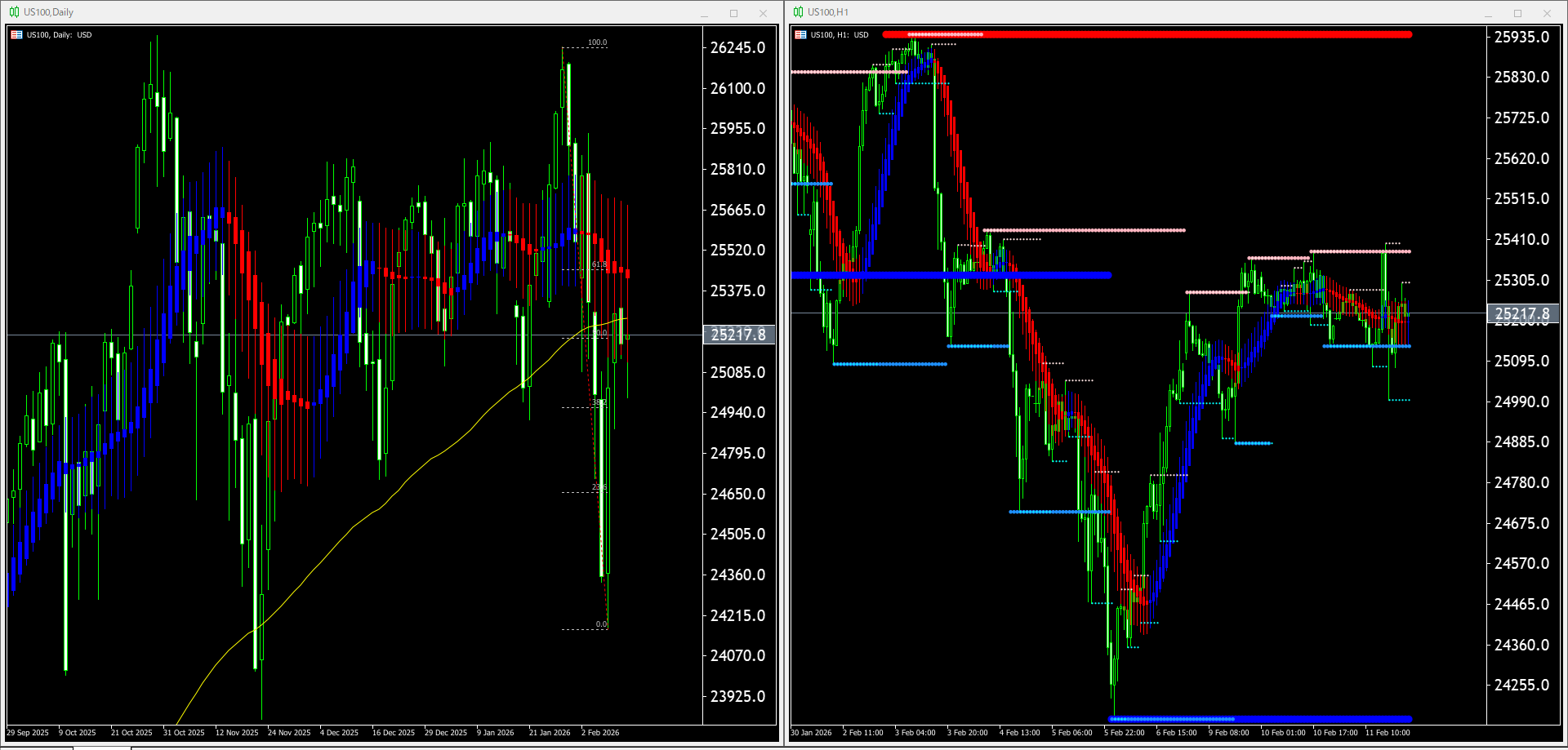
本日(2026年2月12日)US100のチャートテクニカル分析

(チャートは2026年2月12日7時のもの)
左:日足「OANDA_Heikinashi_Smoothed」「OANDA_Auto_fibonacci」「単純移動平均線(期間100)」を表示
右:1時間足「OANDA_Heikinashi_Smoothed」「OANDA_Support_Resistance」を表示
<日足チャート分析>
ローソク足は上下にヒゲのある実体の短い陽線を形成して、前日の下落に対する小幅反発となりました。
平均足は陰連しているものの、ローソク足と平均足は重なり、明確な方向性は出ていません。
25,000ポイント前後の水準で3営業日値動きが停滞中です。
目先は、上昇が続き26,000ポイントを目指すか、25,000ポイント前後での停滞が続くかに注目です。
<1時間足チャート分析>
取引前半から下落が進み、半ばに乱高下して最終的に始値を若干上回る水準で取引を終えました。
平均足は陰線と陽線が交互に現れて、ローソク足は平均足と重なり、明確な方向性は出ていません。
9日高値が意識され、9日高値近くで値動きが停滞中です。
目先は、9日高値超えに向けて上昇が進むか、9日高値は超えられず反落が進むかに注目です。
US100(米国100株価指数)のリアルタイムレートはこちら
テクニカル分析チャートで使っているオリジナルインジケーター
OANDA_Heikinashi_Smoothedはこちら
OANDA_Support_Resistanceはこちら
OANDA_Auto_fibonacciはこちら
その他オリジナルインジケーターライブラリはこちら
米国の主要株価指数の変化率チャート

(画像は2026年2月12日7時のもの)
米国株の主要3指数(US30、US100、US500)の変化率を比較したチャートです。
US100は序盤に堅調に推移した後、昼以降に軟化したものの、夜に反発し23時頃には一時+0.75%付近まで上昇しました。
その後、日付が変わる頃に急落してマイナス圏に転じましたが、引けにかけて持ち直しています。
最終的に約+0.13%で取引を終え、主要3指数の中で唯一のプラスとなりました。
| US100 | NASDAQ100指数を参照したCFD |
| US30 | NYダウ指数を参照したCFD |
| US500 | S&P500指数を参照したCFD |
本日(2026年2月12日)の主な米国経済指標
12日(木)22:30(米国)前週分失業保険継続受給者数
12日(木)22:30(米国)前週分新規失業保険申請件数
12日(木)24:00(米国)1月中古住宅販売件数(前月比)
12日(木)24:00(米国)1月中古住宅販売件数(年率換算件数)
Published by
OANDA Lab編集部
OANDA証券株式会社が運営する「OANDAラボ」は、FX/CFDを統計学的側面で科学するメディアです。外国為替(FX)や世界の株価指数、金や原油などの商品市場に関するマーケット情報やデータ、ニュースを提供しています。
会社名:OANDA証券株式会社
所在地:東京都千代田区平河町1-3-13 CIRCLES平河町 10階
加入協会:一般社団法人金融先物取引業協会 / 日本証券業協会 / 日本商品先物取引業協会
登録番号:第一種 金融商品取引業 関東財務局長 (金商) 第2137号
問い合わせ先:お問い合わせフォームから
本ホームページに掲載されている事項は、投資判断の参考となる情報の提供を目的としたものであり、投資の勧誘を目的としたものではありません。投資方針、投資タイミング等は、ご自身の責任において判断してください。本サービスの情報に基づいて行った取引のいかなる損失についても、当社は一切の責を負いかねますのでご了承ください。また、当社は、当該情報の正確性および完全性を保証または約束するものでなく、今後、予告なしに内容を変更または廃止する場合があります。なお、当該情報の欠落・誤謬等につきましてもその責を負いかねますのでご了承ください。