昨日(2026年2月12日)の天然ガス動向振り返り
- 終値:3.756(-0.054)<-1.42%>
※OANDAが提供する商品CFD「天然ガス(NATGAS)」の終値です。
※終値はNY時間17時時点のMidです。
NATGASは小幅下落。
EIA(米エネルギー情報局)が週間在庫統計を発表し、在庫減少幅は市場予想を下回ったものの、同時期の過去5年平均を大きく上回る減少となりました。
発表後のNATGASに大きな動きは見られず、反応は限定的です。
一方、米国本土の気温予報では、今後1~2週間にわたり中西部および南部を中心に平年を上回る気温が続く見通しで、天然ガスの暖房需要の鈍化が意識されています。
強弱材料が交錯する中、相場は方向感に乏しい展開となりました。
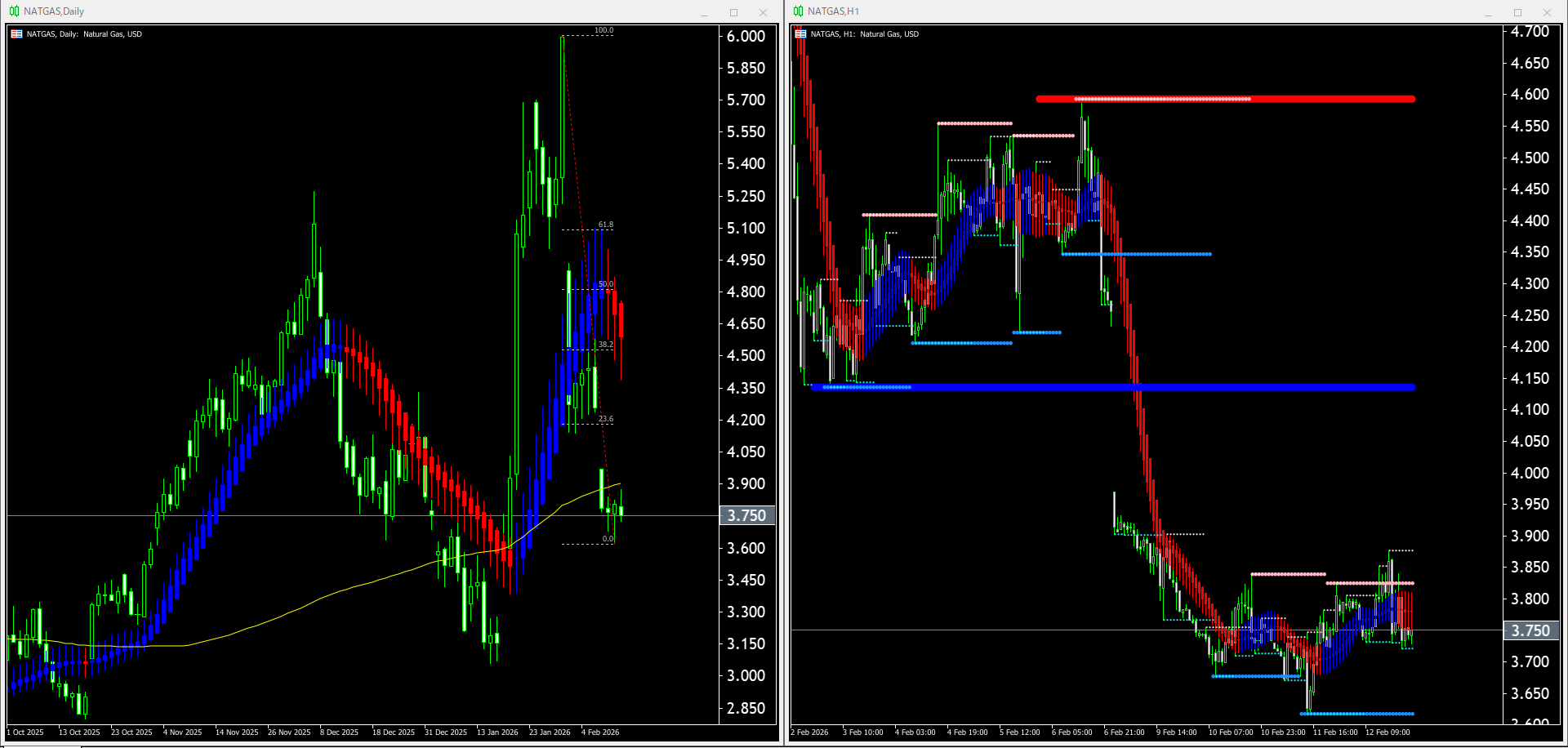
【天然ガス(NATGAS)】本日(2026年2月13日)のチャートテクニカル分析

(チャートは2026年2月13日7時のもの)
左:日足「OANDA_Heikinashi_Smoothed」「OANDA_Auto_fibonacci」を表示
右:1時間足「OANDA_Heikinashi_Smoothed」「OANDA_Support_Resistance」を表示
<日足チャート分析>
ローソク足は上ヒゲのある陰線を形成し、前日11日の上昇幅を戻す形となりました。
平均足は陽連後の陰転3日目で、ローソク足は平均足の下にあり、下落トレンド開始を示唆しています。
1月15日安値と30日高値の7割戻しの水準で値動きが停滞中です。
目先は、15日安値に向けて下落が進むか、7割戻し水準での停滞が続くかに注目です。
<1時間足チャート分析>
3.8ドルを中心に小幅に上下して、始値を若干下回る水準で取引を終えました。
直近の平均足は陰連しているものの、ローソク足と平均足は重なり、明確な方向性は出ていません。
11日安値が底値となり反発が進みつつあります。
目先は、11日安値からの反発が続くか、反落して11日安値割れへ向かうかに注目です。
テクニカル分析チャートで使っているオリジナルインジケーター
OANDA_Heikinashi_Smoothedはこちら
OANDA_Support_Resistanceはこちら
OANDA_Auto_fibonacciはこちら
その他オリジナルインジケーターライブラリはこちら
石油・天然ガス採掘装置(リグ)数の推移(週間)

米石油サービス会社ベーカー・ヒューズの発表によると、米国内石油リグの稼働数は1基増加して412基でした。
稼働リグ数は1月中旬以降、緩やかな増加傾向が続いています。
一方、天然ガスのリグ数は5基増加して130基でした。
2週連続の増加で、130基台を回復したのは昨年11月下旬以来です。
天然ガス貯蔵量の推移(週間)

米EIA(エネルギー情報局)の発表によると、天然ガスの貯蔵量は前週比で249bcf(10億立方フィート)減少し、2214bcfでした。
在庫水準は引き続き、直近5年間の平均を下回っています。
また天然ガス(NATGAS)リアルタイムチャートは、以下よりご確認下さい。
>天然ガス(NATGAS)リアルタイムレート
Published by
OANDA Lab編集部
OANDA証券株式会社が運営する「OANDAラボ」は、FX/CFDを統計学的側面で科学するメディアです。外国為替(FX)や世界の株価指数、金や原油などの商品市場に関するマーケット情報やデータ、ニュースを提供しています。
会社名:OANDA証券株式会社
所在地:東京都千代田区平河町1-3-13 CIRCLES平河町 10階
加入協会:一般社団法人金融先物取引業協会 / 日本証券業協会 / 日本商品先物取引業協会
登録番号:第一種 金融商品取引業 関東財務局長 (金商) 第2137号
問い合わせ先:お問い合わせフォームから
本ホームページに掲載されている事項は、投資判断の参考となる情報の提供を目的としたものであり、投資の勧誘を目的としたものではありません。投資方針、投資タイミング等は、ご自身の責任において判断してください。本サービスの情報に基づいて行った取引のいかなる損失についても、当社は一切の責を負いかねますのでご了承ください。また、当社は、当該情報の正確性および完全性を保証または約束するものでなく、今後、予告なしに内容を変更または廃止する場合があります。なお、当該情報の欠落・誤謬等につきましてもその責を負いかねますのでご了承ください。