昨日(2026年2月12日)のWTI原油動向振り返り
- 終値:62.957(-1.990)<-3.06%>
※OANDAが提供する商品CFD「WTI原油(USOIL)」の終値です。
※終値はNY時間17時時点のMidです。
USOILは下落。
国際エネルギー機関(IEA)が2026年の石油需要は想定よりも緩やかに留まり、大幅な供給過剰が続くとの見通しを発表しました。
この発表で需給の緩みが警戒され、売りの動きが出たと指摘されています。
また、トランプ米大統領がイスラエルのネタニヤフ首相とイランの核問題について協議し、米国がイランとの交渉を継続するとの報道がありました。
これによって地政学リスクがやや緩和したことも下落要因だったと指摘されています。
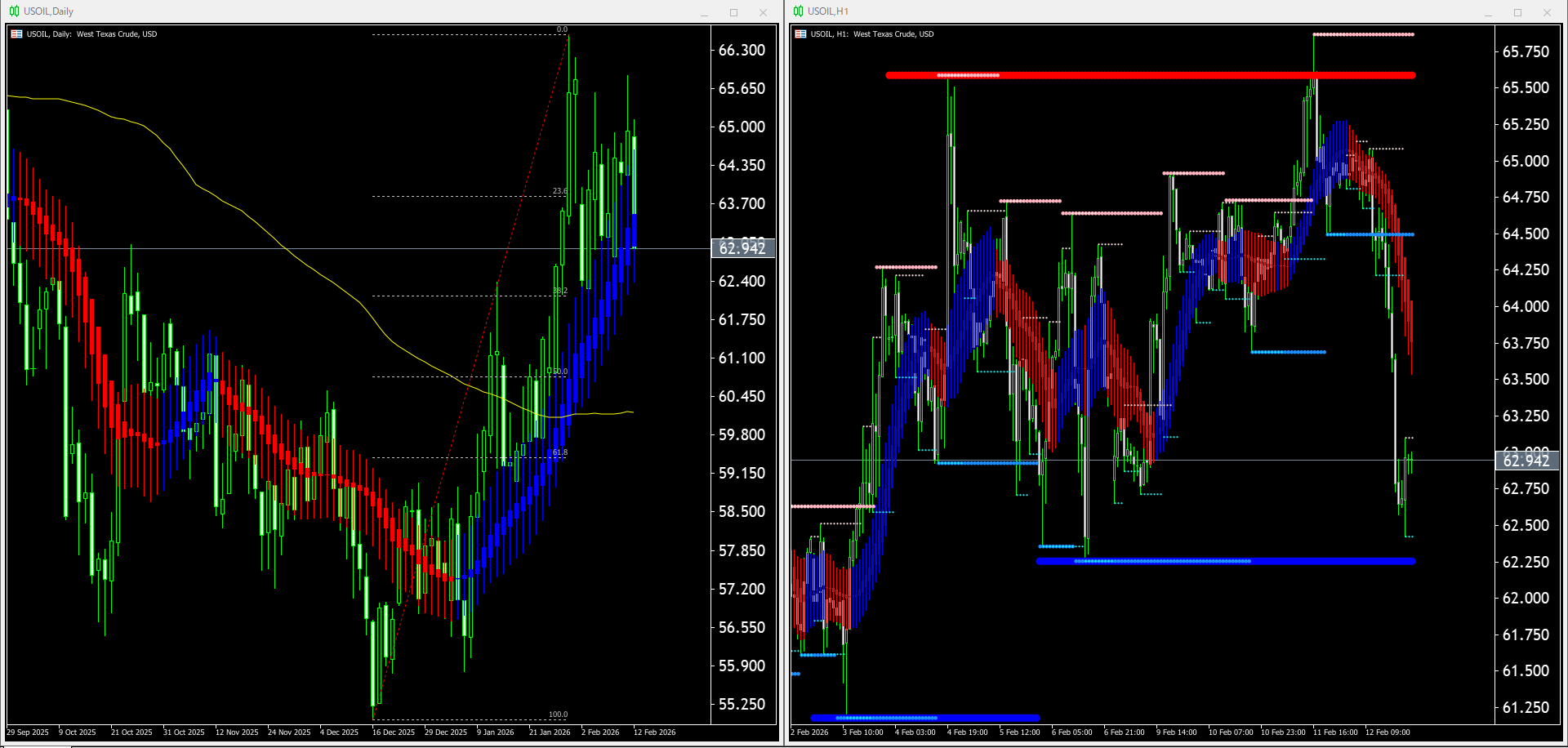
【WTI原油(USOIL)】本日(2026年2月13日)のチャートテクニカル分析

(チャートは2026年2月13日7時のもの)
左:日足「OANDA_Heikinashi_Smoothed」「OANDA_Auto_fibonacci」を表示
右:1時間足「OANDA_Heikinashi_Smoothed」「OANDA_Support_Resistance」を表示
<日足チャート分析>
ローソク足は上下にヒゲのある陰線を形成して、前日11日の上昇幅を大きく上回る下落となりました。
平均足は陽連しているものの、ローソク足と平均足は重なり、明確な方向性は出ていません。
65ドル付近が抵抗帯として機能する中で、12日は62ドル台まで下落が進みました。
目先は、抵抗帯からの下落が続くか、反発して再度抵抗帯付近へ戻るかに注目です。
<1時間足チャート分析>
取引半ばから後半にかけて下落が進んだ後、若干反発して取引を終えました。
平均足は陰連しローソク足はその下を推移しており、売り優勢を示しています。
取引後半に6日安値が意識され反発が進みました。
目先は、6日安値付近からの反発が続くか、6日安値割れに向け下落が進むかに注目です。
テクニカル分析チャートで使っているオリジナルインジケーター
OANDA_Heikinashi_Smoothedはこちら
OANDA_Support_Resistanceはこちら
OANDA_Auto_fibonacciはこちら
その他オリジナルインジケーターライブラリはこちら
石油・天然ガス採掘装置(リグ)数の推移(週間)

米石油サービス会社ベーカー・ヒューズの発表によると、2026年2月6日時点の米国の原油リグ稼働数は412基でした。
前週から1基増加し、410基台前半での推移を続けています。
原油在庫の推移(週間)

米EIA(エネルギー情報局)の発表によると、2026年2月6日時点の原油在庫は前週比で853万バレルほど増加し、およそ4億2883万バレルです。
2026年1月下旬には2週連続で減少しましたが、直近は大幅に増加しました。
またWTI原油(USOIL)リアルタイムチャートは、以下よりご確認下さい。
>WTI原油(USOIL)リアルタイムレート
Published by
OANDA Lab編集部
OANDA証券株式会社が運営する「OANDAラボ」は、FX/CFDを統計学的側面で科学するメディアです。外国為替(FX)や世界の株価指数、金や原油などの商品市場に関するマーケット情報やデータ、ニュースを提供しています。
会社名:OANDA証券株式会社
所在地:東京都千代田区平河町1-3-13 CIRCLES平河町 10階
加入協会:一般社団法人金融先物取引業協会 / 日本証券業協会 / 日本商品先物取引業協会
登録番号:第一種 金融商品取引業 関東財務局長 (金商) 第2137号
問い合わせ先:お問い合わせフォームから
本ホームページに掲載されている事項は、投資判断の参考となる情報の提供を目的としたものであり、投資の勧誘を目的としたものではありません。投資方針、投資タイミング等は、ご自身の責任において判断してください。本サービスの情報に基づいて行った取引のいかなる損失についても、当社は一切の責を負いかねますのでご了承ください。また、当社は、当該情報の正確性および完全性を保証または約束するものでなく、今後、予告なしに内容を変更または廃止する場合があります。なお、当該情報の欠落・誤謬等につきましてもその責を負いかねますのでご了承ください。