昨日(2026年2月25日)のS&P500の振り返り
| S&P500 | US500(※) | |
|---|---|---|
| 終値 | 6946.13 | 6966.6 |
| 前日比 | +56.06(+0.81%) | +75.6(+1.10%) |
※OANDAが提供するS&P500指数を参照したCFD「US500」の終値です。
※終値はNY時間17時時点のMidです。
2026年2月25日(水)のS&P500は、前日比56.06ポイント高(+0.81%)の6946.13ポイントで取引を終えました。
最新AIが既存事業の収益性を脅かすとの過度な懸念が和らぎ、ハイテク株主導で主要指数は続伸しました。
取引終了後にエヌビディア(NVDA)の決算発表を控える中、半導体関連も期待感から上昇しました。
マグニフィセント7銘柄は全面高で、投資家のリスクオン姿勢の広がりが示されています。
セクター別に見ると、11セクター中5セクターが上昇し、6セクターが下落しました。
上昇したセクターの上位は情報技術が+1.79%、金融が+1.68%、コミュニケーション・サービスが+0.97%でした。
下落したセクターは資本財・サービスが-0.79%、不動産が-0.69%、生活必需品が-0.58%でした。
情報技術や金融が買われており、リスクオンに傾いた展開でした。
個別銘柄では、アップロビン(APP)、ネットフリックス(NFLX)、アプライド・マテリアルズ(AMAT)、パランティア・テクノロジーズ(PLTR)、ユナイテッドヘルス・グループ(UNH)などが上昇。
ロッキード・マーチン(LMT)、ホーム・デポ(HD)、ボストン・サイエンティフィック(BSX)、AT&T(T)、TモバイルUS(TMUS)などが下落しました。
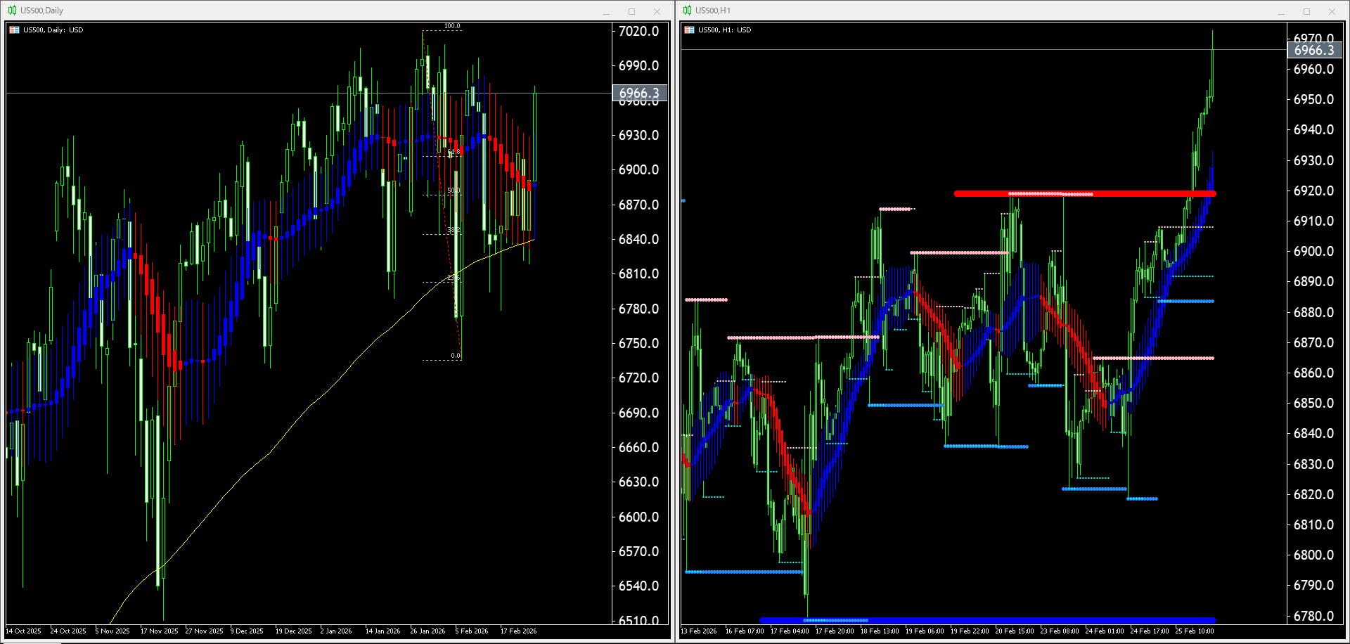
本日(2026年2月26日)のUS500チャートテクニカル分析

(チャートは2026年2月26日7時のもの)
左:日足「OANDA_Heikinashi_Smoothed」「OANDA_Auto_fibonacci」「単純移動平均線(期間100)」を表示
右:1時間足「OANDA_Heikinashi_Smoothed」「OANDA_Support_Resistance」を表示
<日足チャート分析>
ローソク足は比較的長い陽線を形成し2日続伸となりました。
平均足は陰連後の陽転1日目で、ローソク足と平均足は重なり、明確な方向性は出ていません。
25日の上昇により1月半ばから続く高値圏を回復しました。
目先は、史上最高値更新に向け上昇が続くか、高値圏で値動きが停滞するかに注目です。
<1時間足チャート分析>
取引前半から終日上昇が進む1日となりました。
平均足は陽連しローソク足はその上を推移しており、買い優勢を示しています。
抵抗帯となっていた18日高値を超えた後に上昇が加速する形となりました。
目先は、抵抗帯突破後の上昇が続くか、反落して18日高値付近へ戻るかに注目です。
US500(米国500株価指数)のリアルタイムレートはこちら
テクニカル分析チャートで使っているオリジナルインジケーター
OANDA_Heikinashi_Smoothedはこちら
OANDA_Support_Resistanceはこちら
OANDA_Auto_fibonacciはこちら
その他オリジナルインジケーターライブラリはこちら
米国の主要株価指数の変化率チャート

(画像は2026年2月26日7時のもの)
米国株の主要3指数(US30、US100、US500)の変化率を比較したチャートです。
US500は序盤に小幅上昇した後、日中から夜にかけて方向感に欠ける展開でした。
その後、20時以降に上昇の勢いを強め、右肩上がりで上げ幅を拡大しています。
最終的に約+1.10%で取引を終え、主要3指数の中ではUS100に次ぐ上昇率となりました。
| US500 | S&P500指数を参照したCFD |
| US30 | NYダウ指数を参照したCFD |
| US100 | NASDAQ100指数を参照したCFD |
本日(2026年2月26日)の主な米国経済指標
26日(木)21:30(米国)前週分失業保険継続受給者数
26日(木)21:30(米国)前週分新規失業保険申請件数
Published by
OANDA Lab編集部
OANDA証券株式会社が運営する「OANDAラボ」は、FX/CFDを統計学的側面で科学するメディアです。外国為替(FX)や世界の株価指数、金や原油などの商品市場に関するマーケット情報やデータ、ニュースを提供しています。
会社名:OANDA証券株式会社
所在地:東京都千代田区平河町1-3-13 CIRCLES平河町 10階
加入協会:一般社団法人金融先物取引業協会 / 日本証券業協会 / 日本商品先物取引業協会
登録番号:第一種 金融商品取引業 関東財務局長 (金商) 第2137号
問い合わせ先:お問い合わせフォームから
本ホームページに掲載されている事項は、投資判断の参考となる情報の提供を目的としたものであり、投資の勧誘を目的としたものではありません。投資方針、投資タイミング等は、ご自身の責任において判断してください。本サービスの情報に基づいて行った取引のいかなる損失についても、当社は一切の責を負いかねますのでご了承ください。また、当社は、当該情報の正確性および完全性を保証または約束するものでなく、今後、予告なしに内容を変更または廃止する場合があります。なお、当該情報の欠落・誤謬等につきましてもその責を負いかねますのでご了承ください。