昨日(2026年3月4日)のナスダック100の振り返り
| ナスダック100 | US100(※) | |
|---|---|---|
| 終値 | 25,093.68 | 25,106.2 |
| 前日比 | +373.59(+1.51%) | +420.0(+1.70%) |
※OANDAが提供するNASDAQ100指数を参照したCFD「US100」の終値です。
※終値はNY時間17時時点のMidです。
2026年3月4日(水)のナスダック100は、前日比373.59ポイント高(+1.51%)の25,093.68ポイントで取引を終えました。
イランの工作員が秘密裏に米当局と停戦をめぐる交渉で接触したとの報道が伝わり、地政学リスクに対する過度な警戒が和らぎ、主要指数はそろって反発しました。
トランプ大統領がホルムズ海峡での護衛開始を示唆したことも、原油市場の安定化への期待につながり、株式市場を下支えしました。
半導体関連の買い戻しが見られ、前日まで大きく下げていたフィラデルフィア半導体株指数(SOX指数)も反発しました。
また、2月ADP雇用統計は市場予想を大幅に上回り、労働市場の堅調さが示されています。
個別銘柄は、主要テック株を中心に反発し、リスクオンに傾きました。
アップロビン(APP)、アドバンスト・マイクロ・デバイセズ(AMD)、インテル(INTC)、マイクロン・テクノロジー(MU)、テスラ(TSLA)などが上昇。
ペプシコ(PEP)、リンデ(LIN)、アップル(AAPL)、コストコ・ホールセール(COST)、ウォルマート(WMT)などが下落しました。
全体としては、構成銘柄の約7割がプラス圏で取引を終えています。
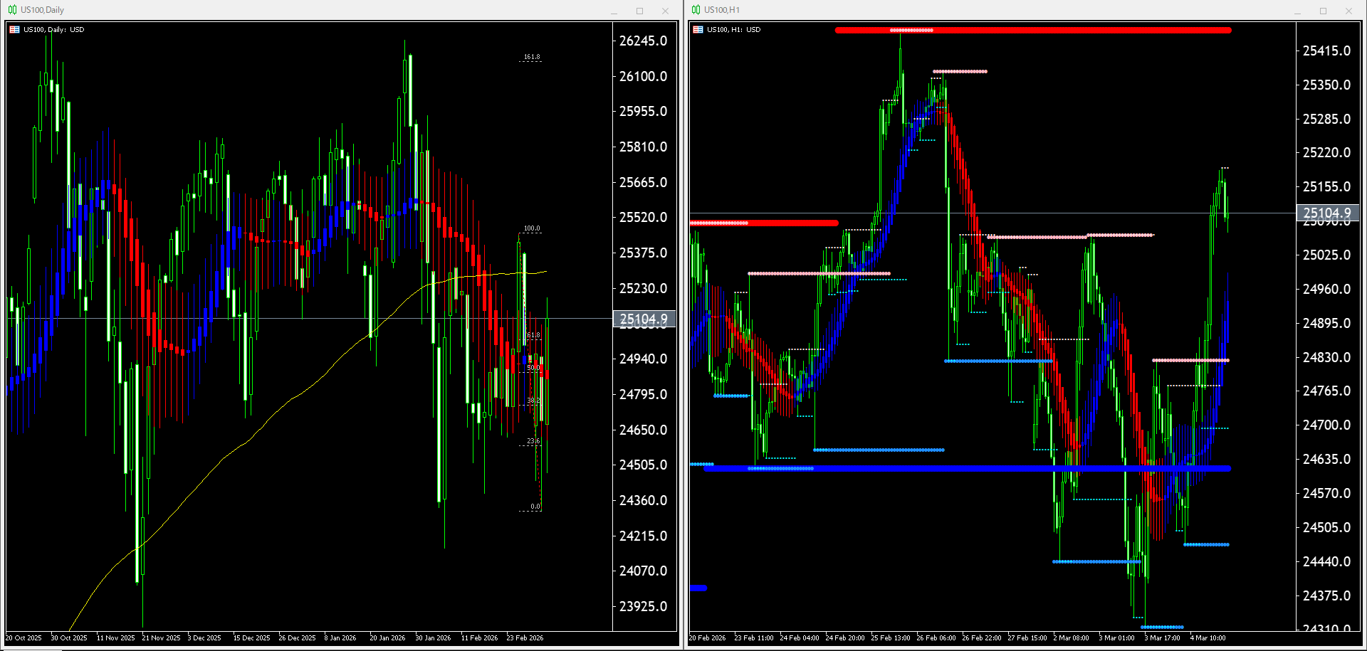
本日(2026年3月5日)US100のチャートテクニカル分析

(チャートは2026年3月5日7時のもの)
左:日足「OANDA_Heikinashi_Smoothed」「OANDA_Auto_fibonacci」「単純移動平均線(期間100)」を表示
右:1時間足「OANDA_Heikinashi_Smoothed」「OANDA_Support_Resistance」を表示
<日足チャート分析>
ローソク足は上下にヒゲのある陽線を形成し、前日3日の下落に対する反発となりました。
平均足は陰連しているものの、ローソク足と平均足は重なり、明確な方向性は出ていません。
上昇により2月半ばから続くレンジの上限付近で取引を終えました。
目先は、さらに上昇してレンジを上方ブレイクするか、反落してレンジ内の取引が続くかに注目です。
<1時間足チャート分析>
取引半ばから後半にかけて上昇が進み、始値を上回る水準で取引を終えました。
平均足は陽連しローソク足はその上を推移しており、買い優勢を示しています。
2月25日高値と3月3日安値の7割戻しを達成しました。
目先は、7割戻し後の反落が進むか、25日高値に向け上昇が続くかに注目です。
US100(米国100株価指数)のリアルタイムレートはこちら
テクニカル分析チャートで使っているオリジナルインジケーター
OANDA_Heikinashi_Smoothedはこちら
OANDA_Support_Resistanceはこちら
OANDA_Auto_fibonacciはこちら
その他オリジナルインジケーターライブラリはこちら
米国の主要株価指数の変化率チャート

(画像は2026年3月5日7時のもの)
米国株の主要3指数(US30、US100、US500)の変化率を比較したチャートです。
US100は序盤から下落基調で推移し、15時頃に一時-0.8%超まで値を下げました。
その後は上昇基調に転じて右肩上がりに推移し、終盤にかけて上げ幅を大きく広げています。
最終的に約+1.70%で取引を終え、主要3指数の中では最も大きな上昇率を記録しました。
| US100 | NASDAQ100指数を参照したCFD |
| US30 | NYダウ指数を参照したCFD |
| US500 | S&P500指数を参照したCFD |
本日(2026年3月5日)の主な米国経済指標
5日(木)22:30(米国)前週分失業保険継続受給者数
5日(木)22:30(米国)前週分新規失業保険申請件数
Published by
OANDA Lab編集部
OANDA証券株式会社が運営する「OANDAラボ」は、FX/CFDを統計学的側面で科学するメディアです。外国為替(FX)や世界の株価指数、金や原油などの商品市場に関するマーケット情報やデータ、ニュースを提供しています。
会社名:OANDA証券株式会社
所在地:東京都千代田区平河町1-3-13 CIRCLES平河町 10階
加入協会:一般社団法人金融先物取引業協会 / 日本証券業協会 / 日本商品先物取引業協会
登録番号:第一種 金融商品取引業 関東財務局長 (金商) 第2137号
問い合わせ先:お問い合わせフォームから
本ホームページに掲載されている事項は、投資判断の参考となる情報の提供を目的としたものであり、投資の勧誘を目的としたものではありません。投資方針、投資タイミング等は、ご自身の責任において判断してください。本サービスの情報に基づいて行った取引のいかなる損失についても、当社は一切の責を負いかねますのでご了承ください。また、当社は、当該情報の正確性および完全性を保証または約束するものでなく、今後、予告なしに内容を変更または廃止する場合があります。なお、当該情報の欠落・誤謬等につきましてもその責を負いかねますのでご了承ください。