昨日(2026年3月5日)のS&P500の振り返り
| S&P500 | US500(※) | |
|---|---|---|
| 終値 | 6830.71 | 6819.2 |
| 前日比 | -38.79(-0.56%) | -53.4(-0.78%) |
※OANDAが提供するS&P500指数を参照したCFD「US500」の終値です。
※終値はNY時間17時時点のMidです。
2026年3月5日(木)のS&P500は、前日比38.79ポイント安(-0.56%)の6830.71ポイントで取引を終えました。
米国とイランの軍事衝突を巡り、前日は停戦交渉の報道から株式市場は買い優勢となったものの、この日は情勢の悪化が意識され売られる展開となりました。
イランがペルシャ湾で米国のタンカーを攻撃したと伝わると、ホルムズ海峡封鎖への懸念が再燃し、原油先物価格が急騰しました。
原油高によるインフレ加速への警戒感が広がり、株式市場の重荷となりました。
航空株が急落し指数の売りを主導する一方、エネルギー関連は上昇しました。
セクター別に見ると、11セクター中3セクターが上昇し、8セクターが下落しました。
上昇したセクターはエネルギーが+0.59%、情報技術が+0.39%、一般消費財が+0.26%でした。
下落したセクターのワースト3は生活必需品が-2.43%、素材が-2.27%、資本財・サービスが-2.21%でした。
多くのセクターが売られ、指数自体もマイナスで取引を終えています。
個別銘柄では、サービスナウ(NOW)、アップロビン(APP)、セールスフォース(CRM)、アリスタ・ネットワークス(ANET)、アドビ(ADBE)などが上昇。
フィリップ・モリス・インターナショナル(PM)、ディア&カンパニー(DE)、ラム・リサーチ(LRCX)、キャタピラー(CAT)、KLA(KLAC)などが下落しました。
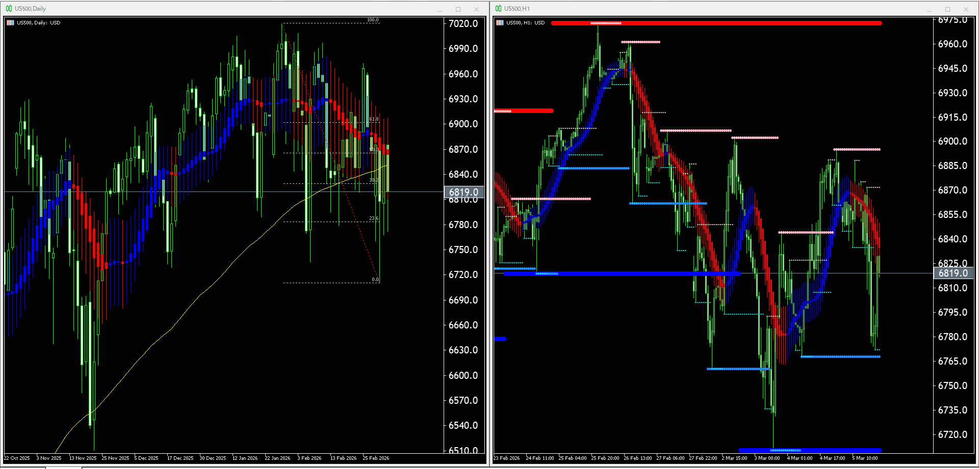
本日(2026年3月6日)のUS500チャートテクニカル分析

(チャートは2026年3月6日7時のもの)
左:日足「OANDA_Heikinashi_Smoothed」「OANDA_Auto_fibonacci」「単純移動平均線(期間100)」を表示
右:1時間足「OANDA_Heikinashi_Smoothed」「OANDA_Support_Resistance」を表示
<日足チャート分析>
ローソク足は上下にヒゲのある陰線を形成し、27日から陰線と陽線が交互に現れています。
平均足は陰連しているものの、ローソク足と平均足は重なり、明確な方向性は出ていません。
3月2日以降、ローソク足の実体が同等の幅となり値動きが停滞しています。
目先は、値動き停滞後に上下どちらの方向へ進むかに注目です。
<1時間足チャート分析>
取引前半と後半に下落が進みましたが、終了前に反発が生じました。
平均足は陰連しているものの、ローソク足と平均足は重なり、明確な方向性は出ていません。
3月2日安値が意識された取引が続いています。
目先は、2日安値は割れずに反発が進むか、2日安値を割れて下落が加速するかに注目です。
US500(米国500株価指数)のリアルタイムレートはこちら
テクニカル分析チャートで使っているオリジナルインジケーター
OANDA_Heikinashi_Smoothedはこちら
OANDA_Support_Resistanceはこちら
OANDA_Auto_fibonacciはこちら
その他オリジナルインジケーターライブラリはこちら
米国の主要株価指数の変化率チャート

(画像は2026年3月6日7時のもの)
米国株の主要3指数(US30、US100、US500)の変化率を比較したチャートです。
US500は序盤にやや上昇した後、売りが優勢となり、おおむねマイナス圏での推移が続きました。
日付が変わる頃から徐々に下げ幅を広げる展開で、一時-1.4%付近まで下落しましたが、その後は反発して下げ幅を縮めています。
最終的に約-0.78%で取引を終え、主要3指数の中ではUS30に次ぐ下落率となりました。
| US500 | S&P500指数を参照したCFD |
| US30 | NYダウ指数を参照したCFD |
| US100 | NASDAQ100指数を参照したCFD |
本日(2026年3月6日)の主な米国経済指標
6日(金)22:30(米国)2月失業率
6日(金)22:30(米国)1月小売売上高(前月比)
6日(金)22:30(米国)1月小売売上高(除自動車)(前月比)
6日(金)22:30(米国)2月平均時給(前年同月比)
6日(金)22:30(米国)2月平均時給(前月比)
6日(金)22:30(米国)2月非農業部門雇用者数変化(前月比)
Published by
OANDA Lab編集部
OANDA証券株式会社が運営する「OANDAラボ」は、FX/CFDを統計学的側面で科学するメディアです。外国為替(FX)や世界の株価指数、金や原油などの商品市場に関するマーケット情報やデータ、ニュースを提供しています。
会社名:OANDA証券株式会社
所在地:東京都千代田区平河町1-3-13 CIRCLES平河町 10階
加入協会:一般社団法人金融先物取引業協会 / 日本証券業協会 / 日本商品先物取引業協会
登録番号:第一種 金融商品取引業 関東財務局長 (金商) 第2137号
問い合わせ先:お問い合わせフォームから
本ホームページに掲載されている事項は、投資判断の参考となる情報の提供を目的としたものであり、投資の勧誘を目的としたものではありません。投資方針、投資タイミング等は、ご自身の責任において判断してください。本サービスの情報に基づいて行った取引のいかなる損失についても、当社は一切の責を負いかねますのでご了承ください。また、当社は、当該情報の正確性および完全性を保証または約束するものでなく、今後、予告なしに内容を変更または廃止する場合があります。なお、当該情報の欠落・誤謬等につきましてもその責を負いかねますのでご了承ください。