昨日(2026年3月9日)のS&P500の振り返り
| S&P500 | US500(※) | |
|---|---|---|
| 終値 | 6795.99 | 6791.4 |
| 前日比 | +55.97(+0.83%) | +53.6(+0.80%) |
※OANDAが提供するS&P500指数を参照したCFD「US500」の終値です。
※終値はNY時間17時時点のMidです。
2026年3月9日(月)のS&P500は、前日比55.97ポイント高(+0.83%)の6795.99ポイントで取引を終えました。
トランプ大統領がイランに対する軍事攻撃がほぼ完了したとの旨を発言し、株式市場には安心感が広がり多くの銘柄が買い戻されました。
マグニフィセント7は全面高となり、主要ハイテク株が指数の上昇をけん引しました。
中東情勢をめぐる先行き不透明感は残るものの、早期終結への期待からリスク回避姿勢は後退しています。
ここのところ急騰していた原油価格は急反落し、インフレ加速に対する過度な警戒感も和らいでいます。
セクター別に見ると、11セクター中9セクターが上昇し、2セクターが下落しました。
上昇したセクターの上位は情報技術が+1.80%、コミュニケーション・サービスが+1.13%、ヘルスケアが+0.94%でした。
下落したセクターは金融が-0.52%、エネルギーが-0.43%でした。
情報技術を中心に、多くのセクターがプラスで取引を終えています。
個別銘柄では、アドバンスト・マイクロ・デバイセズ(AMD)、マイクロン・テクノロジー(MU)、ブロードコム(AVGO)、アリスタ・ネットワークス(ANET)、アップロビン(APP)などが上昇。
AT&T(T)、アクセンチュア(ACN)、ウェルズ・ファーゴ(WFC)、サービスナウ(NOW)、TモバイルUS(TMUS)などが下落しました。
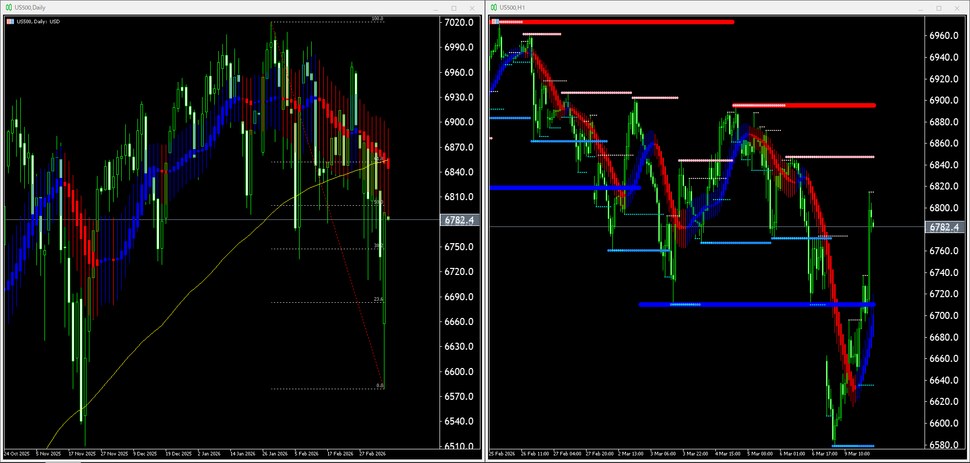
本日(2026年3月10日)のUS500チャートテクニカル分析

(チャートは2026年3月10日7時のもの)
左:日足「OANDA_Heikinashi_Smoothed」「OANDA_Auto_fibonacci」「単純移動平均線(期間100)」を表示
右:1時間足「OANDA_Heikinashi_Smoothed」「OANDA_Support_Resistance」を表示
<日足チャート分析>
ローソク足は下ヒゲの長い陽線を形成して、2日続落後の反発を見せました。
平均足は陰連しているものの、ローソク足と平均足は重なり、明確な方向性は出ていません。
上昇しましたが、下ヒゲ部分で2月および3月安値を更新しています。
目先は、反発が続き2日続落分を戻すか、安値更新に向け再度反落するかに注目です。
<1時間足チャート分析>
下窓を開けて寄り付いた後に若干下落しましたが、取引半ば以降は上昇し窓を埋めて取引を終えました。
平均足は陽連しローソク足はその上を推移しており、買い優勢を示しています。
引いた目で見ると、2月25日高値と3月9日安値の半値戻しを達成しました。
目先は、半値戻し後も上昇が続くか、半値戻し後の反落が生じるかに注目です。
US500(米国500株価指数)のリアルタイムレートはこちら
テクニカル分析チャートで使っているオリジナルインジケーター
OANDA_Heikinashi_Smoothedはこちら
OANDA_Support_Resistanceはこちら
OANDA_Auto_fibonacciはこちら
その他オリジナルインジケーターライブラリはこちら
米国の主要株価指数の変化率チャート

(画像は2026年3月10日7時のもの)
米国株の主要3指数(US30、US100、US500)の変化率を比較したチャートです。
US500はマイナス圏で取引を開始し、一時-2.3%超まで下落幅を広げました。
その後は反発して徐々に下げ幅を縮小し、終盤にはプラス圏まで持ち直しています。
最終的に約+0.80%で取引を終え、主要3指数の中ではUS100に次ぐ上昇率となりました。
| US500 | S&P500指数を参照したCFD |
| US30 | NYダウ指数を参照したCFD |
| US100 | NASDAQ100指数を参照したCFD |
本日(2026年3月10日)の主な米国経済指標
10日(火)23:00(米国)2月中古住宅販売件数(前月比)
10日(火)23:00(米国)2月中古住宅販売件数(年率換算件数)
Published by
OANDA Lab編集部
OANDA証券株式会社が運営する「OANDAラボ」は、FX/CFDを統計学的側面で科学するメディアです。外国為替(FX)や世界の株価指数、金や原油などの商品市場に関するマーケット情報やデータ、ニュースを提供しています。
会社名:OANDA証券株式会社
所在地:東京都千代田区平河町1-3-13 CIRCLES平河町 10階
加入協会:一般社団法人金融先物取引業協会 / 日本証券業協会 / 日本商品先物取引業協会
登録番号:第一種 金融商品取引業 関東財務局長 (金商) 第2137号
問い合わせ先:お問い合わせフォームから
本ホームページに掲載されている事項は、投資判断の参考となる情報の提供を目的としたものであり、投資の勧誘を目的としたものではありません。投資方針、投資タイミング等は、ご自身の責任において判断してください。本サービスの情報に基づいて行った取引のいかなる損失についても、当社は一切の責を負いかねますのでご了承ください。また、当社は、当該情報の正確性および完全性を保証または約束するものでなく、今後、予告なしに内容を変更または廃止する場合があります。なお、当該情報の欠落・誤謬等につきましてもその責を負いかねますのでご了承ください。