昨日(2026年3月11日)のナスダック100の振り返り
| ナスダック100 | US100(※) | |
|---|---|---|
| 終値 | 24,965.01 | 24,930.8 |
| 前日比 | +8.54(+0.03%) | -57.8(-0.23%) |
※OANDAが提供するNASDAQ100指数を参照したCFD「US100」の終値です。
※終値はNY時間17時時点のMidです。
2026年3月11日(水)のナスダック100は、前日比8.54ポイント高(+0.03%)の24,965.01ポイントで取引を終えました。
ホルムズ海峡やペルシャ湾での船舶攻撃が相次ぎ、中東情勢の長期化懸念が改めて意識されました。
原油先物が上昇しインフレ加速への警戒感が広がり、株式市場の逆風となりました。
NYダウが続落する中、ナスダック100はAI関連株の買いに支えられてほぼ横ばいで引けました。
なお、2月消費者物価指数(CPI)は市場予想となり、来週の連邦公開市場委員会(FOMC)では政策金利の据え置きが予想されています。
個別銘柄は、半導体関連やメモリ関連が買われました。
マイクロン・テクノロジー(MU)、インテル(INTC)、テスラ(TSLA)、アプライド・マテリアルズ(AMAT)、ラム・リサーチ(LRCX)などが上昇。
アップラビン(APP)、マーベル・テクノロジー(MRVL)、TモバイルUS(TMUS)、ネットフリックス(NFLX)、ウォルマート(WMT)などが下落しました。
全体としては、構成銘柄の約6割がマイナス圏でしたが、指数自体はわずかなプラス圏で取引を終えています。
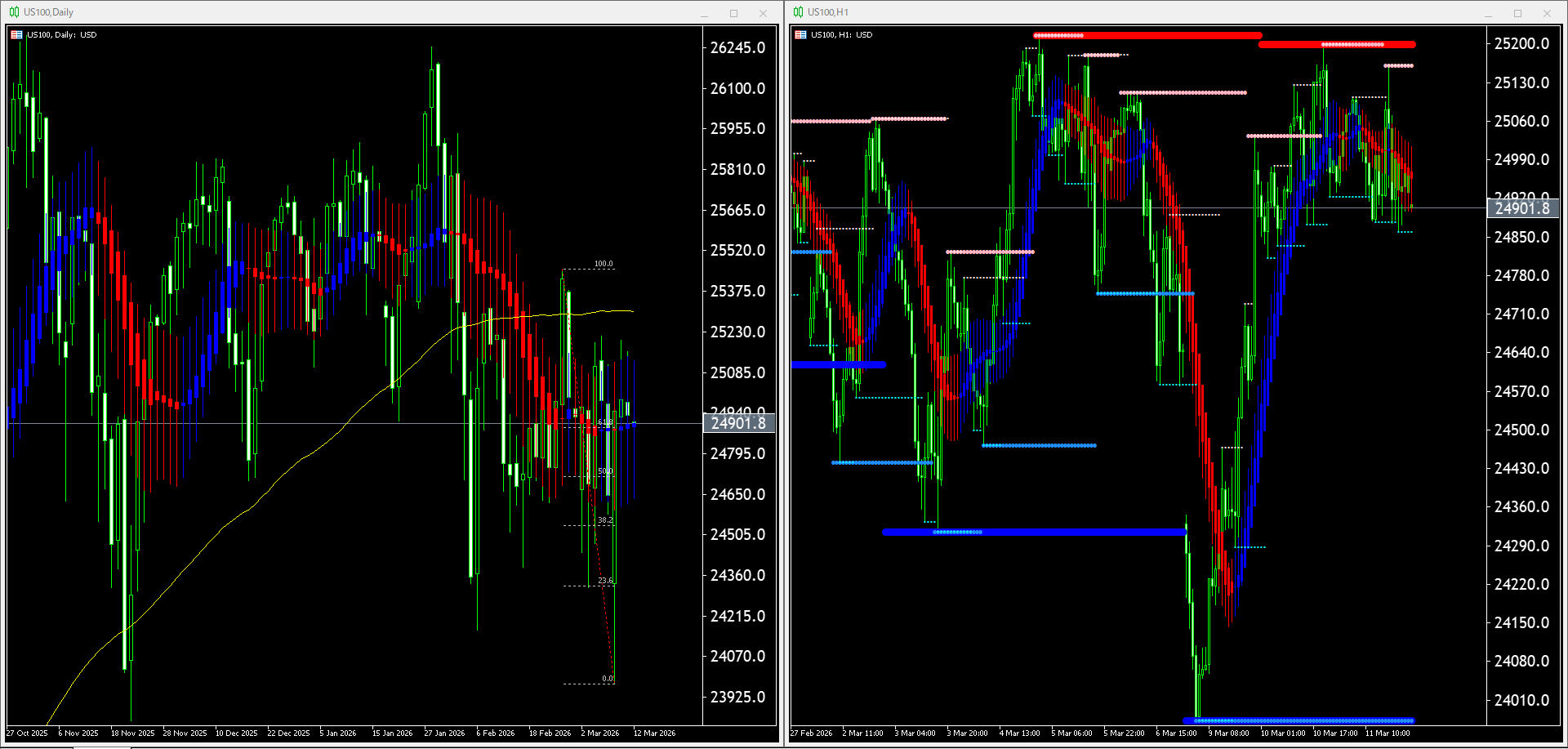
本日(2026年3月12日)US100のチャートテクニカル分析

(チャートは2026年3月12日7時のもの)
左:日足「OANDA_Heikinashi_Smoothed」「OANDA_Auto_fibonacci」「単純移動平均線(期間100)」を表示
右:1時間足「OANDA_Heikinashi_Smoothed」「OANDA_Support_Resistance」を表示
<日足チャート分析>
ローソク足は上下にヒゲのある陰線を形成し、2日続伸後の反落となりました。
平均足は陽線と陰線が交互に現れて、ローソク足と平均足は重なり明確な方向性は出ていません。
11日は小幅高となった10日の値幅内で下落が進む形となりました。
10日の値幅を上下どちらの方向へ突破するかに注目です。
<1時間足チャート分析>
25,000ポイントを中心に小幅に上下して、始値を若干下回る水準で取引を終えました。
平均足は陰連しているものの、ローソク足と平均足は重なり明確な方向性は出ていません。
10日高値付近で値動きが停滞中です。
目先は、10日高値からの下落が進むか、反発して10日高値超えへ向かうかに注目です。
US100(米国100株価指数)のリアルタイムレートはこちら
テクニカル分析チャートで使っているオリジナルインジケーター
OANDA_Heikinashi_Smoothedはこちら
OANDA_Support_Resistanceはこちら
OANDA_Auto_fibonacciはこちら
その他オリジナルインジケーターライブラリはこちら
米国の主要株価指数の変化率チャート

(画像は2026年3月12日7時のもの)
米国株の主要3指数(US30、US100、US500)の変化率を比較したチャートです。
US100はおおむねマイナス圏での推移が続き、日本時間の午前中に上昇する場面がありましたが、夕刻を過ぎると再び軟化しました。
その後は下げ止まりの動きも見られ、引けにかけて下落幅を縮小しています。
最終的に約-0.23%で取引を終え、主要3指数の中では最も小さな下落率に留まりました。
| US100 | NASDAQ100指数を参照したCFD |
| US30 | NYダウ指数を参照したCFD |
| US500 | S&P500指数を参照したCFD |
本日(2026年3月12日)の主な米国経済指標
12日(木)21:30(米国)1月住宅着工件数(前月比)
12日(木)21:30(米国)1月住宅着工件数(年率換算件数)
12日(木)21:30(米国)前週分失業保険継続受給者数
12日(木)21:30(米国)1月建設許可件数(前月比)
12日(木)21:30(米国)1月建設許可件数(年率換算件数)
12日(木)21:30(米国)前週分新規失業保険申請件数
12日(木)21:30(米国)1月貿易収支
Published by
OANDA Lab編集部
OANDA証券株式会社が運営する「OANDAラボ」は、FX/CFDを統計学的側面で科学するメディアです。外国為替(FX)や世界の株価指数、金や原油などの商品市場に関するマーケット情報やデータ、ニュースを提供しています。
会社名:OANDA証券株式会社
所在地:東京都千代田区平河町1-3-13 CIRCLES平河町 10階
加入協会:一般社団法人金融先物取引業協会 / 日本証券業協会 / 日本商品先物取引業協会
登録番号:第一種 金融商品取引業 関東財務局長 (金商) 第2137号
問い合わせ先:お問い合わせフォームから
本ホームページに掲載されている事項は、投資判断の参考となる情報の提供を目的としたものであり、投資の勧誘を目的としたものではありません。投資方針、投資タイミング等は、ご自身の責任において判断してください。本サービスの情報に基づいて行った取引のいかなる損失についても、当社は一切の責を負いかねますのでご了承ください。また、当社は、当該情報の正確性および完全性を保証または約束するものでなく、今後、予告なしに内容を変更または廃止する場合があります。なお、当該情報の欠落・誤謬等につきましてもその責を負いかねますのでご了承ください。