昨日(2026年3月18日)の天然ガス動向振り返り
- 終値:3.268(+0.148)<+4.74%>
※OANDAが提供する商品CFD「天然ガス(NATGAS)」の終値です。
※終値はNY時間17時時点のMidです。
NATGASは4営業日ぶりに上昇。
取引前半は売りが優勢で下落が進みましたが、節目となる3.0ドル付近で下げ止まり反発しました。
終盤にかけて大きく値を上げ、当日高値付近で取引を終えています。
イランが油田攻撃への報復対象として、サウジアラビアやカタール、UAEなどのエネルギーインフラを標的に挙げたと報じられました。
これを受け中東情勢の緊張が高まり、供給懸念が意識されたことで、NATGASは買いが優勢となった模様です。
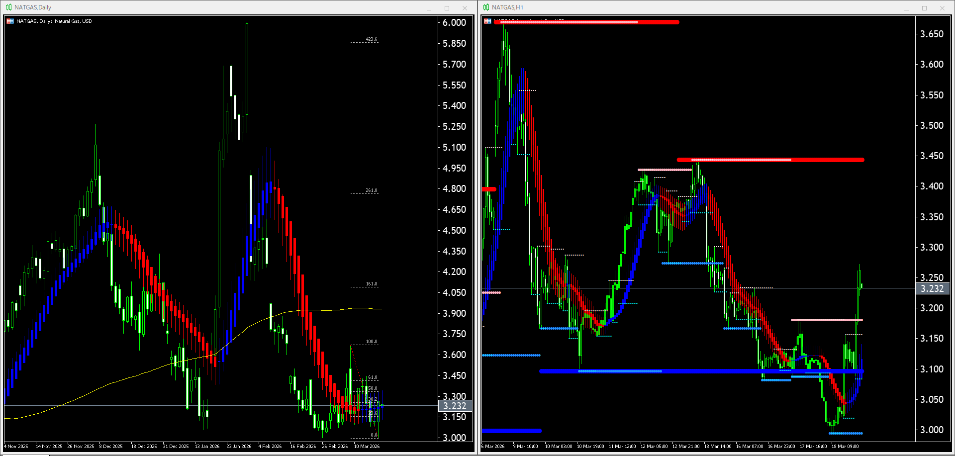
【天然ガス(NATGAS)】本日(2026年3月19日)のチャートテクニカル分析

(チャートは2026年3月19日7時のもの)
左:日足「OANDA_Heikinashi_Smoothed」「OANDA_Auto_fibonacci」を表示
右:1時間足「OANDA_Heikinashi_Smoothed」「OANDA_Support_Resistance」を表示
<日足チャート分析>
ローソク足は下ヒゲが長い陽線を形成して、3月安値を若干更新した後に上昇しました。
平均足は陽連しているものの、ローソク足と平均足は重なり、明確な方向性は出ていません。
一時的に節目価格3.0ドルを割れましたが、反発して3.2ドル台半ばで取引を終えました。
目先は、3.0ドル回復後の反発が進むか、再度3.0ドル割れに向け下落するかに注目です。
<1時間足チャート分析>
取引前半の下落後、半ば以降は上昇が進み当日高値付近で取引を終えました。
平均足は陽連しローソク足はその上を推移しており、買い優勢を示しています。
引いた目で見ると、2月26日安値付近で反発する形となりました。
目先は、26日安値付近からの反発が続くか、反落して26日安値割れへ向かうかに注目です。
テクニカル分析チャートで使っているオリジナルインジケーター
OANDA_Heikinashi_Smoothedはこちら
OANDA_Support_Resistanceはこちら
OANDA_Auto_fibonacciはこちら
その他オリジナルインジケーターライブラリはこちら
石油・天然ガス採掘装置(リグ)数の推移(週間)

米石油サービス会社ベーカー・ヒューズの発表によると、米国内石油リグの稼働数は前週から1基増加して412基でした。
稼働リグ数は2週連続で増加しています。
一方、天然ガスのリグ数は前週から1基増加して133基でした。
2026年2月初旬以降、130基台での推移が続いています。
天然ガス貯蔵量の推移(週間)

米EIA(エネルギー情報局)の発表によると、天然ガスの貯蔵量は前週比で38bcf(10億立方フィート)減少し、1848bcfでした。
在庫水準は減少トレンドが続いており、過去5年平均をわずかに下回っています。
また天然ガス(NATGAS)リアルタイムチャートは、以下よりご確認下さい。
>天然ガス(NATGAS)リアルタイムレート
Published by
OANDA Lab編集部
OANDA証券株式会社が運営する「OANDAラボ」は、FX/CFDを統計学的側面で科学するメディアです。外国為替(FX)や世界の株価指数、金や原油などの商品市場に関するマーケット情報やデータ、ニュースを提供しています。
会社名:OANDA証券株式会社
所在地:東京都千代田区平河町1-3-13 CIRCLES平河町 10階
加入協会:一般社団法人金融先物取引業協会 / 日本証券業協会 / 日本商品先物取引業協会
登録番号:第一種 金融商品取引業 関東財務局長 (金商) 第2137号
問い合わせ先:お問い合わせフォームから
本ホームページに掲載されている事項は、投資判断の参考となる情報の提供を目的としたものであり、投資の勧誘を目的としたものではありません。投資方針、投資タイミング等は、ご自身の責任において判断してください。本サービスの情報に基づいて行った取引のいかなる損失についても、当社は一切の責を負いかねますのでご了承ください。また、当社は、当該情報の正確性および完全性を保証または約束するものでなく、今後、予告なしに内容を変更または廃止する場合があります。なお、当該情報の欠落・誤謬等につきましてもその責を負いかねますのでご了承ください。