先週金曜日(2026年3月27日)の天然ガス動向振り返り
- 終値:3.117(+0.117)<+3.90%>
※OANDAが提供する商品CFD「天然ガス(NATGAS)」の終値です。
※終値はNY時間17時時点のMidです。
NATGASは2営業日ぶりに反発。
取引前半は買いが優勢で堅調に推移し、夜に一時下押しする場面も見られましたが、その後は持ち直し、3.1ドル台で取引を終えました。
米国の予想気温が引き下げられたことで暖房需要の増加期待が高まり、これがNATGAS価格を押し上げる要因となった模様です。
なお、CFTC(米商品先物取引委員会)が天然ガスの投機的ネットポジションを公開し、およそ17万3,000の売り越しでした。
売り越し幅は前回値と比較してやや縮小しています。
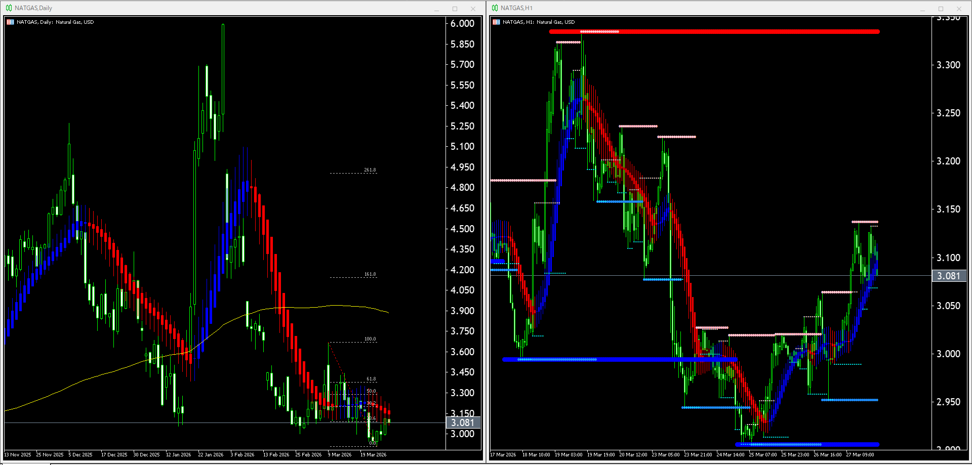
【天然ガス(NATGAS)】本日(2026年3月30日)のチャートテクニカル分析

(チャートは2026年3月30日7時のもの)
左:日足「OANDA_Heikinashi_Smoothed」「OANDA_Auto_fibonacci」を表示
右:1時間足「OANDA_Heikinashi_Smoothed」「OANDA_Support_Resistance」を表示
<日足チャート分析>
ローソク足は陽線を形成し、24日から陰線と陽線が交互に現れています。
平均足は陰連しているものの、ローソク足と平均足は重なり、明確な方向性は出ていません。
27日の上昇により節目価格3.0ドルを突破して3.1ドル台まで上昇しました。
目先は、3.0ドル突破後の上昇が続くか、3.0ドル割れに向け反落するかに注目です。
<1時間足チャート分析>
取引前半から半ばにかけて上昇が進み、始値を上回る水準で取引を終えました。
平均足は陽連しローソク足はその上を推移しており、買い優勢を示しています。
19日高値と25日安値の半値戻しを達成しました。
目先は、半値戻しでは止まらず上昇が続くか、半値戻しで反落が進むかに注目です。
テクニカル分析チャートで使っているオリジナルインジケーター
OANDA_Heikinashi_Smoothedはこちら
OANDA_Support_Resistanceはこちら
OANDA_Auto_fibonacciはこちら
その他オリジナルインジケーターライブラリはこちら
石油・天然ガス採掘装置(リグ)数の推移(週間)

米石油サービス会社ベーカー・ヒューズの発表によると、米国内石油リグの稼働数は前週から5基減少して409基でした。
稼働リグ数は約1か月ぶりに410基を下回りました。
一方、天然ガスのリグ数は前週から4基減少して127基でした。
2週連続の減少で120基台まで低下しています。
天然ガス貯蔵量の推移(週間)

米EIA(エネルギー情報局)の発表によると、天然ガスの貯蔵量は前週比で54bcf(10億立方フィート)減少し、1829bcfでした。
減少に転じたものの、過去5年平均をわずかに上回っています。
また天然ガス(NATGAS)リアルタイムチャートは、以下よりご確認下さい。
>天然ガス(NATGAS)リアルタイムレート
Published by
OANDA Lab編集部
OANDA証券株式会社が運営する「OANDAラボ」は、FX/CFDを統計学的側面で科学するメディアです。外国為替(FX)や世界の株価指数、金や原油などの商品市場に関するマーケット情報やデータ、ニュースを提供しています。
会社名:OANDA証券株式会社
所在地:東京都千代田区平河町1-3-13 CIRCLES平河町 10階
加入協会:一般社団法人金融先物取引業協会 / 日本証券業協会 / 日本商品先物取引業協会
登録番号:第一種 金融商品取引業 関東財務局長 (金商) 第2137号
問い合わせ先:お問い合わせフォームから
本ホームページに掲載されている事項は、投資判断の参考となる情報の提供を目的としたものであり、投資の勧誘を目的としたものではありません。投資方針、投資タイミング等は、ご自身の責任において判断してください。本サービスの情報に基づいて行った取引のいかなる損失についても、当社は一切の責を負いかねますのでご了承ください。また、当社は、当該情報の正確性および完全性を保証または約束するものでなく、今後、予告なしに内容を変更または廃止する場合があります。なお、当該情報の欠落・誤謬等につきましてもその責を負いかねますのでご了承ください。