昨日(2026年4月1日)のNYダウの振り返り
| NYダウ | US30(※) | |
|---|---|---|
| 終値 | 46,565.74 | 46,635.4 |
| 前日比 | +224.23(+0.48%) | +265.0(+0.57%) |
※OANDAが提供するNYダウ指数を参照したCFD「US30」の終値です。
※終値はNY時間17時時点のMidです。
2026年4月1日(水)のNYダウは、前日比224.23ドル高(+0.48%)の46,565.74ドルで取引を終えました。
米国・イスラエルとイランによる停戦観測と、米国の堅調な経済指標を背景に、株式市場は買い優勢となりました。
原油先物価格は下落しインフレ再燃の警戒感が和らぎ、市場を下支えしました。
3月ADP雇用統計や2月小売売上高、3月ISM製造業景況指数はそろって市場予想を上回り、米景気の堅調さが示されています。
エネルギーセクターは大幅下落となった一方、景気敏感株が相場をけん引しました。
個別銘柄を見ると、前日に引き続いて買いが優勢なものの、銘柄によってまちまちの展開でした。
ボーイング(BA)、キャタピラー(CAT)、ゴールドマン・サックス・グループ(GS)、シャーウィン・ウィリアムズ(SHW)、ユナイテッドヘルス・グループ(UNH)などが上昇。
ナイキ(NKE)、シェブロン(CVX)、ベライゾン・コミュニケーションズ(VZ)、ビザ(V)、マクドナルド(MCD)が下落しました。
特に、ナイキ(NKE)は前日比-15.51%と、大きく売られています。
全体としては、構成銘柄の約6割がプラス圏で取引を終えています。
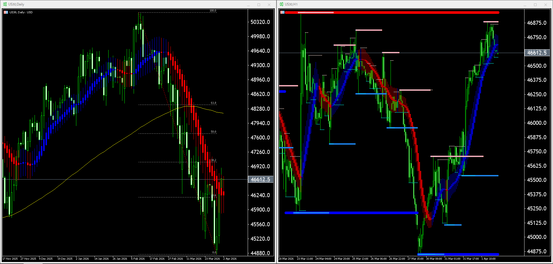
本日(2026年4月2日)US30のチャートテクニカル分析

(チャートは2026年4月2日7時のもの)
左:日足「OANDA_Heikinashi_Smoothed」「OANDA_Auto_fibonacci」「単純移動平均線(期間100)」を表示
右:1時間足「OANDA_Heikinashi_Smoothed」「OANDA_Support_Resistance」を表示
<日足チャート分析>
ローソク足は上ヒゲの長い陽線を形成し、3日続伸となりました。
平均足は陰連しているものの、ローソク足と平均足は重なり、明確な方向性は出ていません。
46,000ドル台の中での上昇が進みました。
目先は、47,000ドルに向けて上昇が進むか、46,000ドル台での値動きが続くかに注目です。
<1時間足チャート分析>
取引前半から上昇が続いた後、後半に若干反落して取引を終えました。
平均足は陽連しているものの、ローソク足と平均足は重なり、明確な方向性は出ていません。
30日安値と31日安値でダブルボトムを形成して上昇が進んでいます。
目先は、ダブルボトム形成後の上昇が続くか、30日安値割れに向け反落するかに注目です。
US30(米国ウォールストリート株価指数30)のリアルタイムレートはこちら
テクニカル分析チャートで使っているオリジナルインジケーター
OANDA_Heikinashi_Smoothedはこちら
OANDA_Support_Resistanceはこちら
OANDA_Auto_fibonacciはこちら
その他オリジナルインジケーターライブラリはこちら
米国の主要株価指数の変化率チャート

(画像は2026年4月2日7時のもの)
米国株の主要3指数(US30、US100、US500)の変化率を比較したチャートです。
US30は序盤から堅調に推移し、日中から夜にかけて緩やかに上げ幅を拡大しました。
深夜に一時+1.0%超まで上昇しましたが、その後は失速して上昇幅をやや縮小しています。
最終的に約+0.57%で取引を終え、主要3指数の中では最も小さな上昇率に留まりました。
| US30 | NYダウ指数を参照したCFD |
| US100 | NASDAQ100指数を参照したCFD |
| US500 | S&P500指数を参照したCFD |
本日(2026年4月2日)の主な米国経済指標
2日(木)21:30(米国)前週分失業保険継続受給者数
2日(木)21:30(米国)前週分新規失業保険申請件数
2日(木)21:30(米国)2月貿易収支
Published by
OANDA Lab編集部
OANDA証券株式会社が運営する「OANDAラボ」は、FX/CFDを統計学的側面で科学するメディアです。外国為替(FX)や世界の株価指数、金や原油などの商品市場に関するマーケット情報やデータ、ニュースを提供しています。
会社名:OANDA証券株式会社
所在地:東京都千代田区平河町1-3-13 CIRCLES平河町 10階
加入協会:一般社団法人金融先物取引業協会 / 日本証券業協会 / 日本商品先物取引業協会
登録番号:第一種 金融商品取引業 関東財務局長 (金商) 第2137号
問い合わせ先:お問い合わせフォームから
本ホームページに掲載されている事項は、投資判断の参考となる情報の提供を目的としたものであり、投資の勧誘を目的としたものではありません。投資方針、投資タイミング等は、ご自身の責任において判断してください。本サービスの情報に基づいて行った取引のいかなる損失についても、当社は一切の責を負いかねますのでご了承ください。また、当社は、当該情報の正確性および完全性を保証または約束するものでなく、今後、予告なしに内容を変更または廃止する場合があります。なお、当該情報の欠落・誤謬等につきましてもその責を負いかねますのでご了承ください。