昨日(2026年2月26日)のS&P500の振り返り
| S&P500 | US500(※) | |
|---|---|---|
| 終値 | 6908.86 | 6896.6 |
| 前日比 | -37.27(-0.54%) | -70.0(-1.00%) |
※OANDAが提供するS&P500指数を参照したCFD「US500」の終値です。
※終値はNY時間17時時点のMidです。
2026年2月26日(木)のS&P500は、前日比37.27ポイント安(-0.54%)の6908.86ポイントで取引を終えました。
前日の引け後にエヌビディア(NVDA)の決算で好調な内容が発表されたものの、投資家の期待に届かず株価を下げ、主要ハイテク株も売られました。
半導体関連が弱く、フィラデルフィア半導体株指数(SOX指数)は前日に最高値を更新した水準から大幅下落しました。
マグニフィセント7が総じて売られ、指数の下落を主導しました。
投資家心理を表すVIX指数は警戒感を表す20を一時上回り、リスク回避姿勢の広がりを示しています。
セクター別に見ると、11セクター中4セクターが上昇し、7セクターが下落しました。
上昇したセクターの上位は金融が+1.29%、資本財・サービスが+0.63%、不動産が+0.47%でした。
下落したセクターは情報技術が-1.81%、コミュニケーション・サービスが-0.75%、一般消費財が-0.40%でした。
半導体関連が売られた影響で、情報技術のマイナスが目立ちます。
個別銘柄では、アクセンチュア(ACN)、セールスフォース(CRM)、インテュイット(INTU)、ボストン・サイエンティフィック(BSX)、CMEグループ(CME)などが上昇。
エヌビディア(NVDA)、アプライド・マテリアルズ(AMAT)、ラム・リサーチ(LRCX)、アドバンスト・マイクロ・デバイセズ(AMD)、マイクロン・テクノロジー(MU)などが下落しました。
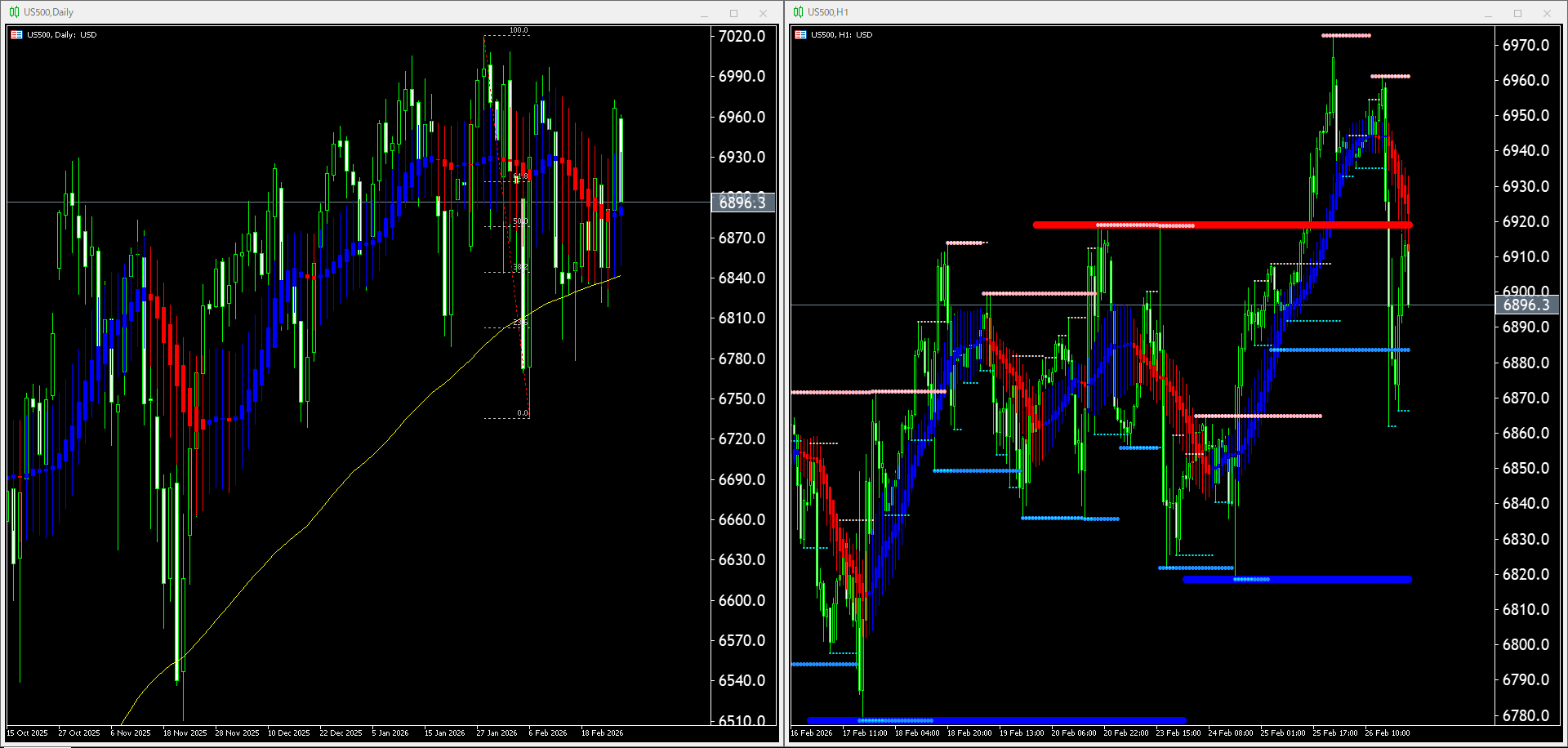
本日(2026年2月27日)のUS500チャートテクニカル分析

(チャートは2026年2月27日7時のもの)
左:日足「OANDA_Heikinashi_Smoothed」「OANDA_Auto_fibonacci」「単純移動平均線(期間100)」を表示
右:1時間足「OANDA_Heikinashi_Smoothed」「OANDA_Support_Resistance」を表示
<日足チャート分析>
ローソク足は下ヒゲの長い陰線を形成し、2日続伸後の反落となりました。
平均足は陰連後の陽転2日目で、ローソク足と平均足は重なり、明確な方向性は出ていません。
26日は下落しましたが、1月半ばから続く高値圏は維持されています。
目先は、史上最高値更新に向け上昇を再開するか、高値圏での停滞が続くかに注目です。
<1時間足チャート分析>
取引半ばの小幅高の後、後半に大きな下落と反発を見せて、始値を下回る水準で取引を終えました。
平均足は陰連しているものの、ローソク足と平均足は重なり、明確な方向性は出ていません。
引いた目で見ると、17日安値と25日高値の半値戻し達成後に反発しています。
目先は、半値戻し後の反発が続くか、反落して17日安値へ向かうかに注目です。
US500(米国500株価指数)のリアルタイムレートはこちら
テクニカル分析チャートで使っているオリジナルインジケーター
OANDA_Heikinashi_Smoothedはこちら
OANDA_Support_Resistanceはこちら
OANDA_Auto_fibonacciはこちら
その他オリジナルインジケーターライブラリはこちら
米国の主要株価指数の変化率チャート

(画像は2026年2月27日7時のもの)
米国株の主要3指数(US30、US100、US500)の変化率を比較したチャートです。
US500は序盤から小幅なマイナス圏で推移し、夜にかけて方向感に乏しい展開が続きました。
その後、日付が変わる頃に下落基調を強め、一時-1.5%付近まで値を下げています。
最終的に約-1.00%で取引を終え、主要3指数の中ではUS100に次ぐ下落率となりました。
| US500 | S&P500指数を参照したCFD |
| US30 | NYダウ指数を参照したCFD |
| US100 | NASDAQ100指数を参照したCFD |
本日(2026年2月27日)の主な米国経済指標
27日(金)22:30(米国)1月卸売物価指数(PPIコア指数、食品・エネルギー除く)(前年同月比)
27日(金)22:30(米国)1月卸売物価指数(PPIコア指数、食品・エネルギー除く)(前月比)
27日(金)22:30(米国)1月卸売物価指数(PPI)(前年同月比)
27日(金)22:30(米国)1月卸売物価指数(PPI)(前月比)
27日(金)23:45(米国)2月シカゴ購買部協会景気指数
Published by
OANDA Lab編集部
OANDA証券株式会社が運営する「OANDAラボ」は、FX/CFDを統計学的側面で科学するメディアです。外国為替(FX)や世界の株価指数、金や原油などの商品市場に関するマーケット情報やデータ、ニュースを提供しています。
会社名:OANDA証券株式会社
所在地:東京都千代田区平河町1-3-13 CIRCLES平河町 10階
加入協会:一般社団法人金融先物取引業協会 / 日本証券業協会 / 日本商品先物取引業協会
登録番号:第一種 金融商品取引業 関東財務局長 (金商) 第2137号
問い合わせ先:お問い合わせフォームから
本ホームページに掲載されている事項は、投資判断の参考となる情報の提供を目的としたものであり、投資の勧誘を目的としたものではありません。投資方針、投資タイミング等は、ご自身の責任において判断してください。本サービスの情報に基づいて行った取引のいかなる損失についても、当社は一切の責を負いかねますのでご了承ください。また、当社は、当該情報の正確性および完全性を保証または約束するものでなく、今後、予告なしに内容を変更または廃止する場合があります。なお、当該情報の欠落・誤謬等につきましてもその責を負いかねますのでご了承ください。